seit es die R1200GS gibt, haelt sich auch die Maer das Geruecht die These, eine 1200er ziehe weiter Unmengen an Strom, auch wenn sie nur in der Garage steht. Eine ausgelutschte Batterie ist eine logische Konsequenz und alle 2 Jahre kauft man sich eine neue. Natuerlich eine neue Batterie, nicht R1200GS. Diese Neue sollte nun nach Moeglichkeit nicht der letzte Hund sein, denn das ABS der GS ist da ein bisschen kleinlich, wenn die Kapazitaet Ladung abnimmt, nimmt auch der Willen der Kuh ab, vermittels Bremskraftverstaerker und ABS zu stoppen, dann ist Handarbeit angesagt.
Warum kommt nun allwinterlich diese Geschichte mit der stromfressenden Kuh wieder ans Tageslicht? Weil etliche nach der Winterpause, teilweise 4 Monate und mehr ((ich nehmen mich da dieses Jahr nicht aus)) den Zuendschluessel drehen, ein leises Surren vom BKV vernehmen und nach dem Druck auf den Startknopf nur noch ein KLACK zu hoeren bekommen.
Die Ursache ist so simpel wie sie doof ist, wenn man das Lenkradschloss nicht einrastet, ist der Ruhestrom der R1200GS beinahe doppelt so hoch wie im verriegelten Zustand. Das betrifft nicht alle Baujahre und damit eben nicht alle Besitzer einer R1200GS. Daher auch die unterschiedlichen Aussagen. Bjoern auf dem GS-Forum fand auch gleich noch die BMW Haendlermeldung dazu.
Service Information 38/2006 (Baugruppe 61: Allgemeine Fahrzeugelektrik)
Betrifft R1200GS (Für den Euro Raum VIN ZL25005-ZL29999, ZN25000-ZN44999 und ZR20000-ZR32860) und einige K1200R & S. Am Stecker des Zündschlosses kann PIN6 (lila Kabel) totgelegt werden.Messung Strom an R1200GS, BJ2004, direkt an der Batterie, Messgeräte
– Fluke 112 (fürs Grobe, Messbereich bis 10A, Auflösung 1mA)
– ABB Metrawatt M2012 (fürs Feine, Messbereich 20mA, Auflösung 10µA)Zündung an: Spitzenströme über 4A (ABS-Initialisierung, Bremskraftverstärker)
Danach: ~1,9 A für ZündungZündung aus: 113mA
60 Sekunden Wartezeit für Ruhebetrieb, dann
Zündung aus: 4,3mADann die Überraschung:
Lenkradschloss: 2,8 – 3,0mA (Wert stark schwankend)Überprüfung:
Wieder auf Zündung aus: 65mA (LCD-Display erscheint)
ca. 10 Sekunden Wartezeit, dann wieder
4,3mA
Lenkradschloss: 2,8 – 3,0mA
Ausgerechnet hat man das ganze natuerlich auch und kommt so zu interessanten Zahlen, die mit der „Zeit des Stehens“ in dunklen Garagen der meisten tatsaechlich uebereinstimmt. 12.345,6 Jahre, nein, das war was anderes.
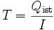
Nimmt man an, dass eine 15Ah Batterie etwa 50%, also 7,5 Ah zum starten des Krades vorhalten muss ergibt sich nach der nachfolgenden Formel:
Somit sind in Stellung „Lenkradschloss“ 2500 Stunden ~ 104 Tage,
und in Stellung „Zündung aus“ noch 1744 Stunden ~ 72 Tage Standzeit möglich.
Meine Kuh stand, wie ich meinen Blogaufzeichungen entnehmen kann von Ende Oktober bis Anfang Februar, als ich das erste Mal wegen vergeblichem Startversuch das Ladegeraet anhaengte ohne Lenkradschloss etwa 85 Tage. WWAPD?!

Biete Anfang Januar 2006 bis Ende Juli 2006 als Standzeit. Währenddessen etliche Male georgelt, aber die Kiste sprang nicht an. Ungläubig auf Rat hin doch mal die fast neuen tollen Iridiumkerzen rausgeschmissen und mit neuen Kerzen sprang sie auf Anhieb an. Ohne in den ganzen Monaten mal ein Ladegerät gesehen zu haben.
Naja, war die Honda. 😉
Also die CB, die war ja auch ne Honda. Und mit der musste ich ja niiiiie orgeln. Die sprang nie wegen zu niedriger Batterieladung für den Anlasser nicht an. Aus allen anderen Gründen, aber deswegen nicht 🙂
und die KLR und KLE (Kawas) sind ohne Murren nach Wochen der Konservierung bei -15°C angesprungen… ihr sabotiert meinen Artikel ihr Halunken 😉
Was ich vergaß: Was heißt eigentlich WWAPD?
Aber davon ab, es liegt halt wohl doch an dem Elektroniktinnef in der 12GS. Wahrscheinlich ein Bewegungssensor, der zusätzlich zur Wegfahrsperre bei rollendem Mopped den BKV aktiviert als Art Parkbremse. Oder heimlich die Daten aus dem Fehlerspeicher gen München oder Berlin sendet. Wolle Aluminiumabdeckplane kaufen?
@Schwesterli: Den Piaggio konnte man auch noch antreten, wenn die Batterie so fertig war, daß sie bei laufendem Motor die Elektrik noch so belastete, daß die Blinker nicht richtig und der Scheinwerfer überhaupt nicht mehr ging. Für die F wünsch ich mir auch immer wieder nen Kickstarter und sei es nur, um bei Minusgraden vorm Starten den Motor ein paar mal durchzudrehen.